您好,欢迎光临广州圣丰基生物科技有限公司官网!
全国咨询热线 13928862970
高级搜索:
您当前的位置:首页 » 产品展示 » 日化香料 » 乙酸卞酯  » 乙酸卞酯
高级搜索:
详细内容

广州圣丰基生物科技有限公司




乙酸卞脂


 应    用:  水果和茉莉花香气, 用于日化和工业香精.             

 包    装:  200公斤净重,.镀锌铁桶,

 保 质 期:  12个月                                      

 仓储运输:乙酸卞脂 是易燃液体远离火源热源,保存在密闭容器内.存放在室内阴凉,干燥,通风 .与氧化剂分开放。 装卸和运输时要避免猛烈撞击。

                                     

产品描述:                            

 

产品名称

               乙酸卞脂  

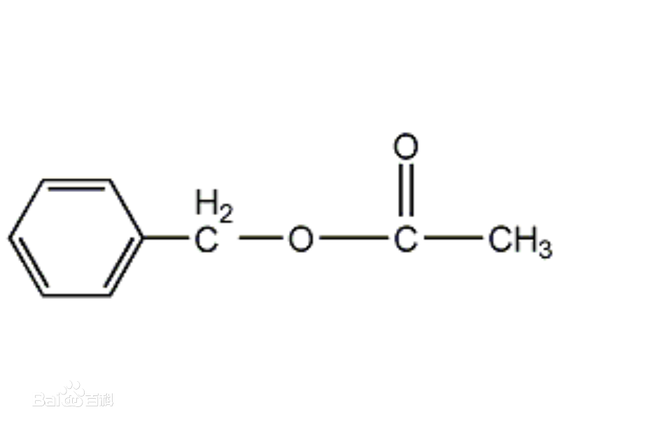
分子结构:

 

 

 

分子式

C9H10O2

分子量

150.17

CAS

140-11-4

FEMA NO

2135

JEFCA NO

23

COE NO

2040

EINECS NO.

204-622-5

 

产品参数:

 

项目

乙酸卞脂

外观

无色 浅黄色液体

气味

甜香,果香,茉莉花香

乙酸卞脂含量(GC  %  

99.5

卞酸(GC %  

0.1

相对密度 d20 4

1.049-1.059

折光率 n20 D

1.50001.5040

酸值mgKOH/g

1.0

溶解度(25

1ml试样全溶于5ml 60%(体积分数)乙醇